軸承支架型螺杆泵-立式螺杆泵-江蘇红桃17c视频泵業
               	                產品簡介(jiè)
        連續低脈動輸送,不受壓力與粘度波(bō)動影響;
輸送量與轉速成正比,在整個轉速範圍內均能高精度計量;
高壓無閥輸送;
機(jī)械密封直接位於泵腔入口下方,無需外(wài)部衝洗密封。
	  
 	      產品詳情
        
	  
 	      產品特(tè)點
        連續低脈動輸送,不受壓力與粘(zhān)度波動影響;
輸送量與轉速成正比,在整個轉速範(fàn)圍內均能(néng)高精度計(jì)量;
高壓無閥輸送;
機械密封(fēng)直(zhí)接(jiē)位於(yú)泵腔入口下方,無需外部衝(chōng)洗密封。
	  
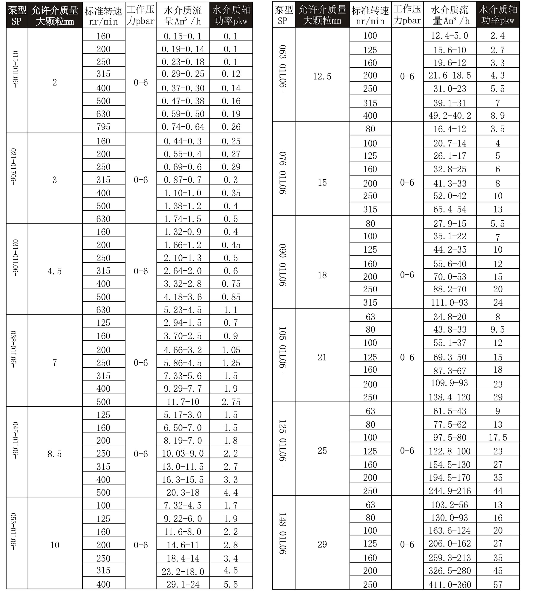
 	      型號參數
        性能參數用於:G型係列,NM型係列,BN型係(xì)列,C型(xíng)係列等,具體選型可聯係工程師



	    		                           	   
               
        碳化矽泵-耐腐耐(nài)磨泵
                
               
        陶瓷泵-耐酸(suān)耐堿泵
                
               
        FXU係(xì)列工程塑料旋流泵(bèng)