關鍵詞: 液下泵、自(zì)吸泵、螺杆泵
強製(zhì)喂(wèi)料螺杆泵的特點:
連續低脈動輸送,不受壓力與(yǔ)粘度波動影響輸送量與轉速成正比(bǐ),在整個轉速範圍內均能高精(jīng)度計(jì)量,高(gāo)壓無閥輸送,機械(xiè)密封直接位於泵腔入口下方,無(wú)需外部衝洗密封。
強製喂(wèi)料螺杆泵的三(sān)大係列
直連型(優勢(shì):減速機與直聯架通過(guò)減(jiǎn)速機法蘭(lán)連接,具有結構緊湊。總(zǒng)重(chóng)小,維修(xiū)方便,效率高(gāo)等特點);
軸承支架型(優勢:配有大型雙軸承,使泵運行穩定性提高,還有以配用各種類型的驅(qū)動裝置);
敞口料鬥強製喂料型(優勢:敞口料鬥設計更有利於(yú)介質進(jìn)入泵腔,傳動部件帶有螺旋推進器,以便將介質送入定子個轉子之間,特別適合輸(shū)送流動性差、高粘度、含有大量固體顆粒的介(jiè)質)。
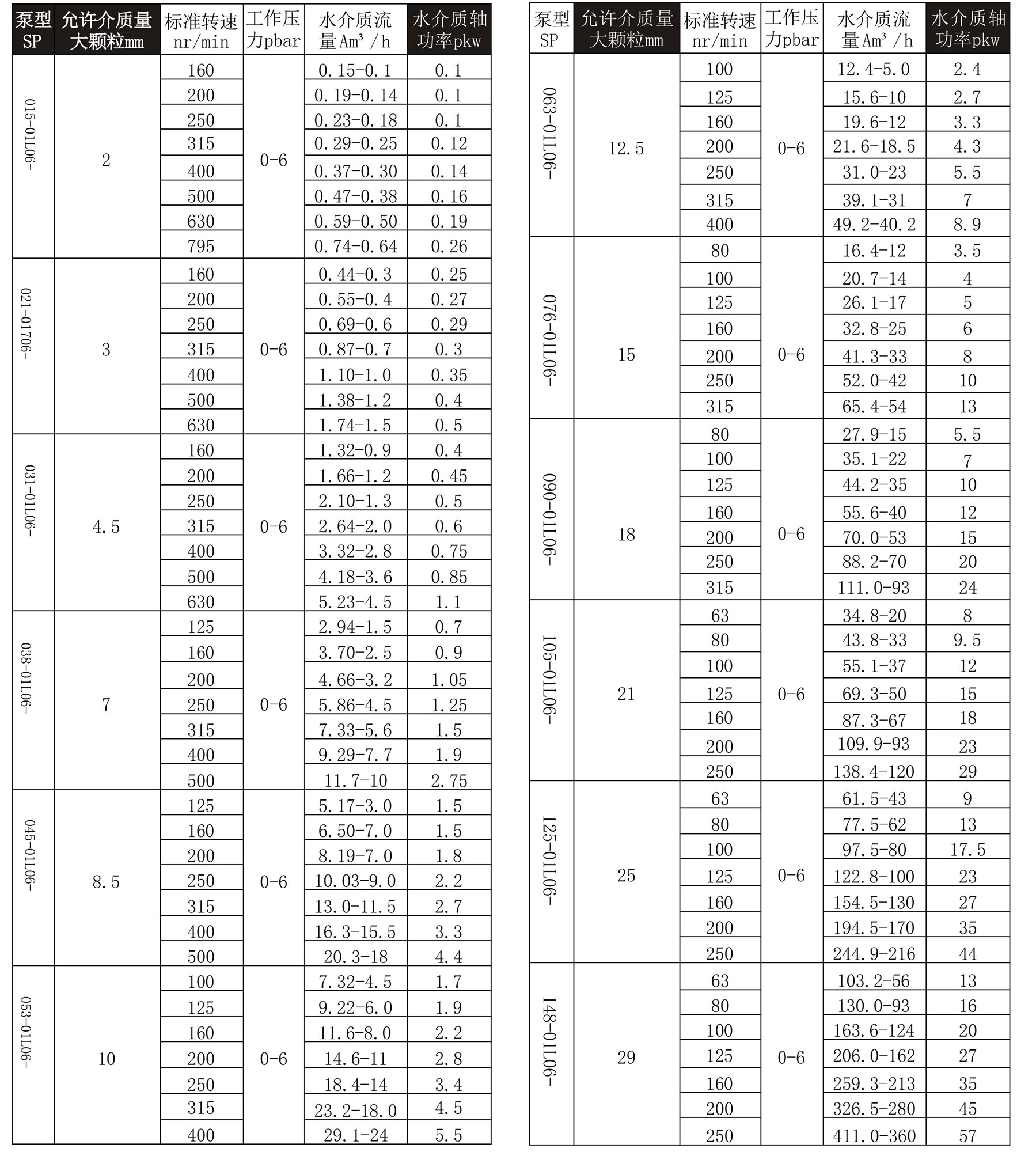
強製喂料(liào)螺杆泵可供(gòng)使用範圍
流(liú)量最(zuì)大可達 400 m3/h
壓力最高可達(dá) 24 bar
采用不同材(cái)料,從碳鋼(gāng)至(zhì)不鏽鋼或者各種合(hé)金材(cái)質
定(dìng)子可采用不(bú)同橡膠,
選用不同機械密封、填料密封或集裝式機封
我們的設計優勢:易維修、可靠性、運行(háng)安全
強製喂料螺杆泵用於造紙、環保技術、食品(pǐn)、化工及石油(yóu)等領域。


